Vancouver City Council |
CITY OF VANCOUVER
ADMINISTRATIVE REPORT
Date:
June 8, 2004
Author:
Rick Gates
Phone No.:
871-6036
RTS No.:
4245
CC File No.:
2005
Meeting Date:
June 22, 2004
TO:
Vancouver City Council
FROM:
Directors of Social Planning and Office of Cultural Affairs
SUBJECT:
2004 Capital Grant Allocations
RECOMMENDTION
A. THAT Council approve the following Capital Grants, totalling $44,146, including conditions on the Grants as noted in Appendix A:
Organization
Recommended Grant
Bard on the Beach Theatre
$ 5,600
Carousel Theatre
$ 2,200
Crisis Intervention & Suicide Centre of BC
$ 18,534
Little Mountain Nbhd House Childcare
$ 6,400
Pomme d'Api Preschool
$ 11,412
Source of funding is the 2004 Capital Budget.
B. THAT the Aboriginal Mother Centre Society be requested to resubmit an application for a Capital Grant by September 30, 2004, which provides sufficient information, to the satisfaction of the Director of Social Planning, to enable a fair and complete assessment of their proposal.
GENERAL MANAGER'S COMMENTS
The General Manager of Community Services RECOMMENDS approval of A and B.
COUNCIL POLICY
The 2003-2005 Capital Plan includes provision for a Capital Grant program for social service and cultural projects in facilities which are not owned by the City.
In 1987, City Council adopted "Criteria and Guidelines for Capital Grants", attached as Appendix D. Included in these, was the stipulation that the City Grant for a project is not to exceed one-third of the total project cost.
Approval of Grants requires eight affirmative votes.
PURPOSE
This report seeks Council's approval of recommended allocations for the 2004 Capital Grants.
BACKGROUND
The City provides support for cultural and social service facilities through a number of mechanisms, including the direct provision of facilities (e.g. Carnegie Centre and the Vancouver Civic Theatres), Capital budget allocations to organizations operating out of City-owned facilities (e.g. Kiwassa Neighbourhood House, Firehall Arts Centre), and, since 1975, Capital Grants to organizations located in their own (or leased) premises.
Capital Grants to non-profit social service and cultural organizations are for facility purchase, renovation and refurbishment of facilities not owned by the City. By policy, Grants cannot exceed one-third of the total project cost - the balance of the funds must be secured by the non-profit organization through public and private sector fund raising.
This Capital Grant program is an example of one of the ways in which the City works with non-profit organizations to maintain and improve the cultural and social service infrastructure in Vancouver. Of particular significance is the cost-sharing nature of these grants, which ensures that the projects are developed on a partnership basis, leveraging significant support from senior levels of government and the private sector.
The program supports the City's objectives of accessible, community-based services, the development and maintenance of strong communities, and the creation and strengthening of "complete" neighbourhoods.
DISCUSSION
Council-approved criteria and guidelines for this Capital Grant program are attached to this report as Appendix "D".
In April, 2004, an application form, along with a copy of the criteria and guidelines, was sent to Community Service, Cultural and Childcare Grant applicants who own or lease spaces, as well as to other community groups who had expressed an interest in the Capital Grants program. A total of 6 organizations returned completed applications, with combined project budgets of $636,854, requesting a total of $96,285 in Capital Grants. These applications were reviewed by staff from Social Planning, Cultural Affairs and Facilities Development. Copies of the front pages of the application are attached as Appendix "C".
Staff evaluated the applications first on basis of the basic criteria, and then in terms of the following priorities:
· Appropriateness, public benefits, effectiveness, quality and potential improvement of services;
· Financial need;
· Cost of service;
· Accessibility for the broad community; and
· Confirmed financial support from other sources.The review process culminated in the recommended Grant allocations, attached as Appendix "A". The rationale for each recommendation is included in this report as Appendix "B".
In July, 2000, City Council approved a $20,000 Capital Grant for the Indian Homemakers Association to assist in the renovations of an existing building for a "Mother Centre". The grant has not been spent. Since then, a new organization, The Aboriginal Mother Centre Society, has been incorporated and has taken over the completion of this project and, ultimately, the operation of the Mother Centre.
The Aboriginal Mother Centre Society has asked that:
1. the original $20,000 be transferred to them, and
2. the City approve an additional grant of $30,000.Staff have been supportive of this project since its inception. Unfortunately, the current application did not include enough information for staff to be able to decide what aspects of the project are eligible or ineligible for funding. No project design has been submitted, nor any quotes to establish the actual cost of the work. The application is also very sketchy as to where the remainder of the funding will come from. For these reasons, staff are reluctant to recommend a grant, even with a number of conditions. It is not possible, at this point, to even determine an appropriate amount for a grant.
Because of the importance and need for this service, staff are recommending the unusual procedure of seeking a second application that contains all the needed information. If such an application is submitted, staff will report back to Council with a specific recommendation on their request.
To facilitate the payment of Grants, the disbursement procedure established in 1994 will be continued. One-half of the grant will be paid at the start of the project, subject to conditions on the grant being met.
The remaining half of the Grant is paid when the work has been satisfactorily completed, as determined by the Director of Social Planning or the Director of the Office of Cultural Affairs.
FINANCIAL IMPLICATIONS
Council approved an allocation of $500,000 for Capital Grants in the 2003-2005 Capital Plan. On May 20, 2004 Council approved an allocation of $150,000 in the Capital Budget for this year's Capital Grants Program.
The proposed allocations in this report total $44,146, leaving an unallocated balance in this year's Capital Grants Budget of $105,854. If a satisfactory application is received from The Aboriginal Mothers Centre Society, on the basis of what has been requested to date, a grant of $30,000 may be recommended. If approved, this would leave a balance of $75,854.
CONCLUSION
Staff are recommending approval of five Capital Grants totalling $44,146, as outlined in this report. The City's Capital Grants provide an important contribution to maintain and improve the cultural and social service infrastructure in Vancouver. Approval of the recommended Capital Grants will help to ensure that approximately $132,638 worth of renovations, upgrading, and new construction of cultural and social service facilities will happen in 2004-2005.
- - - - -
APPENDIX A
2004 Capital Grant Requests
Organization
Total Project Cost
Request
Recommendation
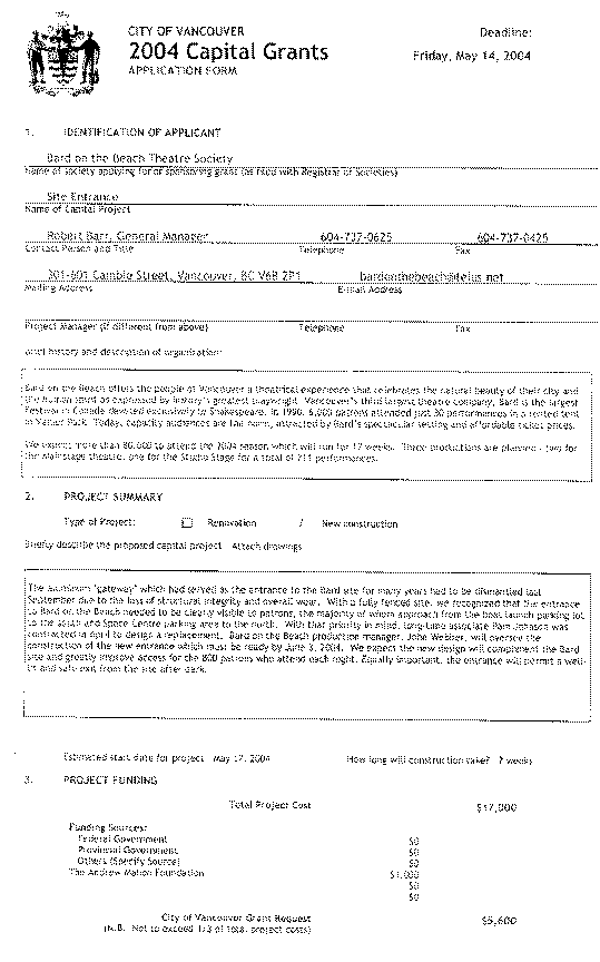
Bard on the Beach Theatre Society
$ 17,000
$ 5,600
$ 5,600
Carousel Theatre Society
$ 6,600
$ 4,339
$ 2,200
Crisis Intervention And Suicide Prevention Centre of BC
$ 55,600
$ 18,534
$ 18,534
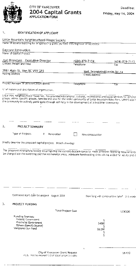
Little Mountain Neighbourhood House Childcare *
$ 19,200
$ 6,400
$ 6,400
Prematernelle Pomme D'api
$ 34,238
$ 11,412
$ 11,412
T O T A L
$132,638
$ 46,285
$ 44,146
General Conditions which apply to all Capital Grants:
· confirmation of the receipt of funds necessary to complete the project; and
· receipt of any necessary development and building permit approvals.Specific Condition:
* Applicant to acquire more quotes for comparison.
APPENDIX B
2004 Capital Grant Recommendations
GRANTS RECOMMENDED:
Bard on the Beach Theatre Society $ 5,600
As Vancouver's third largest theatre company, Bard on the Beach offers Vancouverites a Shakespearean theatrical experience at Vanier Park. The Festival expects to draw 80,000 people to its 2004 season, which will run for 17 weeks, with a total of 211 performances. The society wishes to replace the 12-year old aluminium main gate which has lost its structural integrity. The newly designed gate will improve the entrance to the festival site, secure a safe exit after dark and complement the temporary tent structures that house the Festival. Staff are recommending a grant of up to $5,600 towards the new structure, which is one-third of the total estimated cost for this project.
Carousel Theatre $ 2,200
The Carousel Theatre Society, incorporated in 1976, is a professional theatre for young audiences company. Carousel developed a theatre centre on Granville Island in 1996/97. The society has produced more than 120 productions for young people and their families. The society wishes to undertake certain improvements to the building to improve security, soundproofing and energy conservation measures. Not all of the requested renovations are fundable under the City's guidelines for Capital Grants as they are maintenance and not capital renovations. The recommended grant has been adjusted accordingly by half, consistent with the applicant's budget. Staff are recommending a grant of up to $2,200 towards the renovations, which is one-third of the total estimated cost for this project.
Crisis Intervention and Suicide Prevention Centre: $18,534
The Crisis Centre has been providing a free and confidential distress line and interactive workshops on suicide prevention and stress management for 35 years. Currently, the distress phone service is provided from the second floor of their building. This proposal is to install an elevator to make the phone line area accessible to handicapped volunteers, staff and Board members. They are also proposing to renovate one washroom to bring it up to current standards for people with disabilities. The organization has sufficient funding in their savings that, when combined with the City grant, will ensure that this project is completed very soon. Staff are recommending a grant of $18,534, which is one-third of their total cost of the project.
Little Mountain Neighbourhood House Society $6,400
Little Mountain Neighbourhood House provides a range of community services to families, children, youth and seniors in a culturally diverse community. One of the programs offered through Little Mountain Neighbourhood House is the child development program on East 29th. This program has traditionally served primarily children with special support needs. The program is undergoing renovations to provide services to more community children and create a more inclusive environment. Renovations will include a new sink, related plumbing and wiring and new cabinetry. Staff are recommending approval of the 2004 Capital Grant for $6,400.
Prematernelle Pomme d'Api $11,412
This is a French Preschool on the east side of Vancouver that has been in operation for 20 years. It services children ages 32 months to five years by offering a developmentally appropriate preschool experience in French. They have had to relocate their preschool and are undergoing some minor renovations, e.g. new flooring, new door, sinks, glass replacement, in order to meet licensing requirements. Staff are recommending approval of 2004 Capital Grant for $11, 412.
GRANTS NOT RECOMMENDED:
Aboriginal Mother Centre
The Aboriginal Mother Centre was incorporated in 2002, and is a society which supports young mothers through self-help, training and enterprise. The program is proposing to include daily drop-in and child minding/childcare program for aboriginal children birth to six years. At this time, the program and design details are not fully developed. City staff will continue to work with the Mother Centre staff to develop the program design and resubmit a Capital Grant application to Council later in the year. Staff are recommending that the Aboriginal Mother Centre further its design details and resubmit its application later this year.
APPENDIX C

APPENDIX D
|
|
G U I D E L I N E S A N D C R I T E R I A
1. ELIGIBILITY
Registered non-profit societies which are based in the city and provide social or cultural services (including childcare) to Vancouver residents are eligible to apply for Capital Grants. Societies must be in good standing with the Registrar of Companies, be financially stable with sound administration and have a proven track record of public service.
Non-profit organizations, whose primary purpose or activity is the provision of health care, educational, sport, recreational or religious programs and services, are not eligible. Nor are projects involving City-owned facilities.
The organization shall have an independent, active governing body composed of volunteers. Its main responsibilities shall be program and policy development and fund raising. The Board is held responsible for the effectiveness of services provided and the financial accountability for funds received from all sources. Voting members of the Board of Directors of a Society receiving funds from the City of Vancouver may not be remunerated for services to the society, but they may be reimbursed for expenses.
The organization must extend its services to the general public in the City of Vancouver, and may not exclude anyone by reason of religion, ethnicity, gender, age, sexual orientation, language, disability or income.
2. ALLOWABLE EXPENSES FOR CAPITAL GRANTS
Capital grants are for major capital projects located in the City of Vancouver, involving facility purchase, construction, renovation or expansion. Projects involving City-owned or leased facilities are not eligible for City Capital Grants. Capital Grants may not be used to cover deficits or to pay for furniture, equipment and other depreciable assets, repairs, maintenance or work already under way or completed.
3. COST SHARING
THE CITY'S CONTRIBUTION TO A PROJECT SHALL NOT EXCEED ONE-THIRD OF THE TOTAL COST. Payment of Capital Grants will be contingent on the organization securing funding from other sources.
4. PRIORITIES
Capital Grants are discretionary and will only be provided for projects which meet high standards of quality and excellence in the provision of service to the residents of Vancouver.
The following factors will be taken into account in reviewing applications:
1. Service improvements as a result of proposed capital project;
2. Appropriateness, benefits, effectiveness and quality of service;
3. Financial need of the organization;
4. Cost of service;
5. Community support;
6. Financial and cultural accessibility for the broad community;
7. Financial support from other sources;
8. Tenure of term of lease (if facility not owned); and
9. Amount of grant request in the context of available funds.
5. CITY COUNCIL DECISION ON CAPITAL GRANTS
City Council will shortly establish a budget for the 2004 Capital Grants program. The deadline for Capital Grant applications is Friday, May 14, 2004. City staff will review all eligible applications and make recommendations to City Council in early June. A copy of staff recommendations will be sent to all applicants, along with a notice of the Council meeting at which the grants will be considered. Those applicants wishing to speak to the recommendations in the report may contact the City Clerk's office. Following the meeting, all applicants will be notified of Council's decision in writing by the City Clerk's office.
* * * * *