Vancouver City Council |
CITY OF VANCOUVER
ADMINISTRATIVE REPORT
Date:
July 14, 2003
Author:
Rick Gates
Phone No.:
604-871-6036
RTS No.:
3493
CC File No.:
2005
Meeting Date:
July 31, 2003
TO:
Standing Committee on City Services and Budgets
FROM:
Directors of Social Planning and Office of Cultural Affairs
SUBJECT:
2003 Capital Grant Allocations
RECOMMENDATION
THAT Council approve the following Capital Grants, totalling $37,300, including conditions on the Grants as noted in Appendix A:
Organization
Recommended Grant
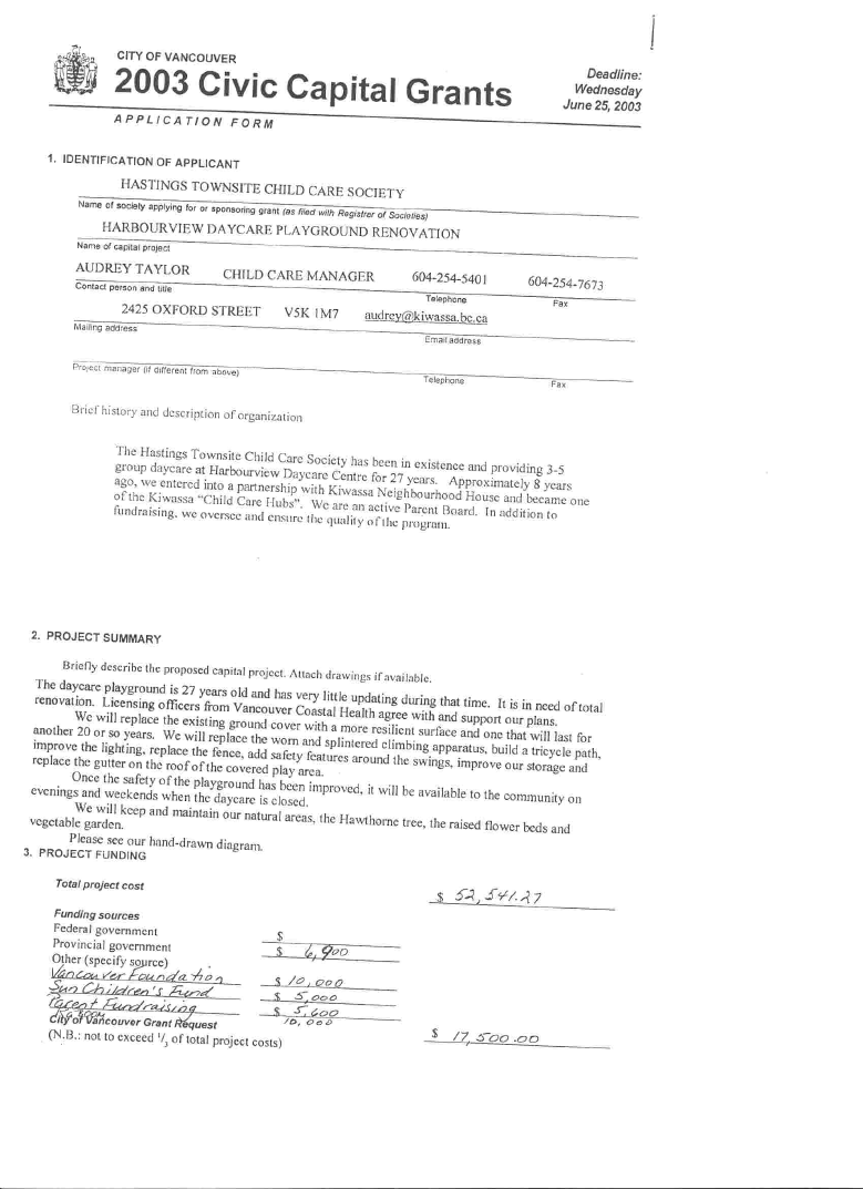
Kiwassa - Harbourview Daycare
$17,300
Taiwanese Canadian Cultural Society
$20,000
Source of funding is the 2003 Capital Budget.
GENERAL MANAGER'S COMMENTS
The General Manager of Community Services RECOMMENDS approval of the foregoing.
COUNCIL POLICY
The 2003-2005 Capital Plan includes provision for a Capital Grant program for social service and cultural projects in facilities which are not owned by the City.
In 1987, City Council adopted "Criteria and Guidelines for Capital Grants". Included in these, was the stipulation that the City Grant for a project is not to exceed one-third of the total project cost.
Approval of Grants requires eight affirmative votes.
PURPOSE
This report seeks Council's approval of recommended allocations for the 2003 Capital Grants.
BACKGROUND
The City provides support for cultural and social service facilities through a number of mechanisms, including the direct provision of facilities (e.g. Carnegie Centre and the Vancouver Civic Theatres), Capital budget allocations to organizations operating out of City-owned facilities (e.g. Mt. Pleasant Neighbourhood House, Firehall Arts Centre), and, since 1975, Capital Grants to organizations located in their own (or leased) premises.
Capital Grants to non-profit social service and cultural organizations are for facility purchase, renovation and refurbishment of facilities not owned by the City. By policy, Grants cannot exceed one-third of the total project cost - the balance of the funds must be secured by the non-profit organization through public and private sector fund raising.
This Capital Grant program is an example of one of the ways in which the City works with non-profit organizations to maintain and improve the cultural and social service infrastructure in Vancouver. Of particular significance is the cost-sharing nature of these Grants, which ensures that the projects are developed on a partnership basis, leveraging significant support from senior levels of government and the private sector.
The program supports the City's objectives of accessible, community-based services, the development and maintenance of strong communities, and the creation and strengthening of "complete" neighbourhoods.
DISCUSSION
Council-approved criteria and guidelines for this Capital Grant program are attached to this report as Appendix "B".
In May, 2003, a preliminary application form, along with a copy of the criteria and guidelines, was sent to Community Service, Cultural and Childcare Grant applicants who own or lease spaces, as well as to other community groups who had expressed an interest in the Capital Grants program. A total of 10 organizations returned completed preliminary applications. Full application forms were then sent to those who met the basic eligibility criteria. A total of 4 applications, with combined project budgets of $3,470,011 requesting a total of $138,700 in Capital Grants, were submitted and reviewed by staff from Social Planning, Cultural Affairs and Facilities Development. Copies of the front pages of the application are attached as Appendix "C".
Staff evaluated the applications first on basis of the basic criteria, and then in terms of the following priorities:
· Appropriateness, public benefits, effectiveness, quality and potential improvement of services;
· Financial need;
· Cost of service;
· Accessibility for the broad community; and
· Confirmed financial support from other sources.The review process culminated in the recommended Grant allocations, attached as Appendix "A". The rationale for each recommendation is included in this report as Appendix "D".
To facilitate the payment of Grants, the disbursement procedure established in 1994 will be continued. One-half of the grant will be paid at the start of the project, subject to conditions on the grant being met.
The remaining half of the Grant is paid when the work has been satisfactorily completed, as determined by the Director of Social Planning or the Director of the Office of Cultural Affairs.
The number of applications and the amount requested are much lower than in previous years. This is not surprising given the current uncertainty in operating funding in the social services sector. One of the significant changes being initiated by the Province is that many of their social service contracts are being consolidated into a smaller number of larger contracts. We therefore anticipate more requests next year for Capital funds to assist with renovations and/or relocations to ensure that adequate facilities are available for these agencies which will have the larger contracts and expanded mandates.
All of City's Grant programs are subject to periodic reviews to ensure that they continue to be relevant and responsive. Under normal circumstances, staff may have suggested that we conduct such a review of the Capital Grants program this year. However, with the uncertainty and changes currently taking place, particularly in the social service sector, we are proposing that any review of this program be postponed for at least a year.
FINANCIAL IMPLICATIONS
Council approved an allocation of $500,000 for Capital Grants in the 2003-2005 Capital Plan. On May 15, 2003 Council approved an allocation of $200,000 in the Capital Budget for this year's Capital Grants Program.
The proposed allocations in this report total $37,300, leaving an unallocated balance in this year's Capital Grants Budget of $162,700.
CONCLUSION
Staff are recommending approval of two Capital Grants totalling $37,300, as outlined in this report. The City's Capital Grants provide an important contribution to maintain and improve the cultural and social service infrastructure in Vancouver. Approval of the recommended
Capital Grants will help to ensure that approximately $115,000 worth of renovations, upgrading, and new construction of cultural and social service facilities will happen in 2003-04.* * * * *
APPENDIX A
PAGE 1 OF 12002 Capital Grant Requests
Organization
Total Project Cost
Request
Recommendation
Gallery Cachet
$ 105,600
$ 35,200
$ 0
Kiwassa - Harbourview Daycare
$ 52,541
$ 17,500
$ 17,300
Pantages Theatre
$3,251,870
$ 66,000
$ 0
Taiwanese Cdn. Cultural Society *
$ 60,000
$ 20,000
$ 20,000
T O T A L
$3,470,011
$138,700
$ 37,300
General Conditions which apply to all Capital Grants:
· confirmation of the receipt of funds necessary to complete the project; and
· receipt of any necessary development and building permit approvals.Specific Condition:
* Confirmation of cost estimates to the satisfaction of the Director of Social Planning.
APPENDIX B
PAGE 1 OF 22003 CAPITAL GRANTS
Guidelines and Criteria
A. ELIGIBILITY
Registered non-profit societies which are based in the City and provide social or cultural services (including childcare) to Vancouver residents are eligible to apply for Capital Grants. Societies must be in good standing with the Registrar of Companies and be financially stable with sound administration and have a proven track record of public service.
Non-profit organizations whose primary purpose or activity is the provision of heath care, educational, sport, recreational or religious programs and services are not eligible. Nor are projects involving City-owned facilities.
The organization shall have an independent, active governing body composed of volunteers. Its main responsibility shall be program and policy development and fund raising. The Board must be responsible for the effectiveness of services and programs provided and the financial accountability of funds received from all sources. Voting members of the Board of Directors of a society receiving funds from the City may not concurrently hold a paid staff position or be remunerated for services to the society. They may be reimbursed for expenses.
The organization must extend its services to the general public in the City of Vancouver, and may not exclude anyone by reason of race, religion, or ethnic background.
In summary, for an application to be considered, the applicant organization must demonstrate it has:
· registered Society status under the Provincial Societies Act;
· an active volunteer board of directors;
· an inclusive demonstrated history of public service;
· at least two years of successful facility operations;
- available, sustainable, long-term operating plan which does not rely on additional City resources.B. ALLOWABLE EXPENSES FOR CAPITAL GRANTS
Capital Grants are for major Capital projects located in the City of Vancouver, involving facility purchase, construction, renovation or expansion. Capital Grants may not be used to cover deficits or to pay for furniture, equipment and other depreciable assets, maintenance or work already underway or completed.
C. COST SHARING
The City's contribution to a project shall not exceed one-third of the total cost. Payment of Capital Grants will be contingent on securing other funding.
D. PRIORITIES
Capital Grants are discretionary and will only be provided for projects which meet high standards of quality and excellence in the provision of service to the residents of Vancouver.
The following factors will be taken into account in reviewing applications:
· Appropriateness, benefits, effectiveness and quality of service;
· Feasibility of proposed project;
· Financial need of organization;
· Cost of service;
· Community support;
· Financial and cultural accessibility for the broad community;
· Other financial support;
· Financial and managerial expertise.E. DOCUMENTATION
Any organization interested in applying for a Capital Grant must first complete a Preliminary Application and submit it, by the specified deadline, to the Social Planning Department. Applicants which meet the basic eligibility requirements and whose preliminary proposals may be fundable within the City's Grants budget will then be asked to submit a detailed application, along with the following information:
1. Current fiscal year operating budget - revenue and expenses
2. Most recent audited or signed financial statements
3. Documents to show evidence that other sources of financial support have been, or are likely to be secured.
4. List of current Board members - names, addresses and position held
5. Long-term Operating/Business PlanF. PAYMENT
Capital Grant payment will be based on a pre-authorized budget subject to confirmation of total project financing and all necessary approvals.
![]()
![]()
![]()
APPENDIX D
PAGE 1 OF 22003 Capital Grant Recommendations
GRANTS RECOMMENDED:
Kiwassa - Harbourview Daycare $17,300
The Hastings Townsite Child Care Society, which operates the Harbourview Childcare Centre, has been providing child care for children ages 3 to 5 years of age for 27 years. Eight years ago, they entered into a partnership with Kiwassa Neighbourhood House and became part of their childcare hub. It has an active parent board which has been fundraising for a new playground for the past two years. The playground has had minimal upgrading since it was first built with the daycare centre. A renovation of the playground space is supported by the Vancouver Regional Health Authority licensing officer. Staff are recommending a Grant of up to $17,300 towards the playground renovation, which is one-third of the total estimated cost for this project.
Taiwanese Canadian Cultural Centre $20,000
The proposed renovation will provide office space for staff and volunteers who are responsible for organizing more than 100 cultural activities. This will allow for more efficient use of resources, which will then enable the reallocation of resources to other activities and services of the Society. The applicant did not provide cost estimates with sufficient detail; therefore, staff are recommending a Grant of up to $20,000, subject to confirmation of detailed cost estimates.
GRANTS NOT RECOMMENDED:
Gallery Gachet $ 0
The Gallery proposes to renovate the basement of their premises at 88 East Cordova and create artists' studios. While staff support the objective of adding artists' studio spaces to the existing gallery, staff note that artists' studio is a conditional approval use in the HA-2 zoning district and approval may be conditional on significant building upgrades. Staff are concerned that the proposed plan and budget does not address this issue and that, to date, the Gallery has secured only $2,000 of the estimated projected $105,000 budget. Staff do not support a Capital Grant at this time.
Pantages Theatre $ 0
City Council approved a Capital Grant in the amount of $43,300 in 2002 to secure the building from further deterioration caused by a leak in the roof and the lack of heating. The Grant was to cover the costs associated with roof repair, roof access, security gates, permits and inspections, dehumidification, exterior cleaning and heating/plumbing costs. Until such time as the work funded under this previous Grant is completed and inspected to the satisfaction of the City's Heritage and Building Inspection staff, Cultural Affairs staff do not support a further Capital Grant. Staff also have considerable concern regarding the financial and operational viability of the proposed project.
The Pantages Preservation Society has also requested that Council endorse an application to the Canada/British Columbia Infrastructure Program. Staff do not recommend endorsement at this time as the required "local" 1/3 share of the $3.252 million capital costs has not been secured. The proposed "local share" is projected to come from the City of Vancouver ($66,000 capital grant request), corporate donations ($700,000), and the sale of heritage density ($946,000). None of the "local share" has been secured to date. While Council did approve in principle up to 28,000 sq. ft. of transferable heritage density in 2002, which staff value at $705,000, the Society has not yet retained the design and legal professionals necessary to complete the development permit and HRA processes. It is therefore necessary for the Society to secure sufficient private sector funds to advance their design process to the point where Council can consider their capital grant, the HRA and support of any Infrastructure submissions.